PascalABC Visual. Практическая работа №1

"Изучение среды PascalABC Visual. Создание простейших приложений с формой"

Цели:

  • Изучить возможности среды PascalABC для создания приложений с формой;

  • Научиться создавать простейшие приложения с формой в среде PascalABC для вычисления различных величин.

Ход работы:

1. Изучить (повторить) теоретический материал:

2. Внимательно изучить, разработать, протестировать и сохранить в свою рабочую папку на компьютере пример задачи:

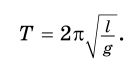
Создать программу с формой для вычисления периода колебаний математического маятника:

 

где l - длина нити [м]; g = 9.8 м/с2 - ускорение свободного падения.

Примерный вид спроектированной формы:

Тексты записанных в программе процедур - обработчиков событий:

3. Получить (уточнить) у преподавателя номер своего варианта.

4. Выбрать из списка номер вашего варианта и прочитать условие задачи:

1 2 3 4 5 6 7 8 9 10 11 12 13 14 15

5. Если возникли вопросы по условию задачи, задайте их преподавателю.

6. Разработать программу для своего варианта, сохранив её в отдельную папку (внутри своей рабочей папки), например:

D:\Documents\395_Иванов\395_Иванов_1

7. В данной работе требуется спроектировать стандартный графический интерфейс для ввода и отображения данных (форма, компоненты Edit, TextLabel, Button). Также требуется поработать над внешним видом (дизайном) программы - установить, отличные от значений по умолчанию, цвет формы, цвет и размер шрифтов. В строке заголовка формы записать: "ЛР №1. Вариант N. Группа. Фамилия Имя."

8. Протестировать работу программы.

9. Сдать преподавателю выполненную работу:  Скопировать папку с работой («№группы_Фамилия_№ЛР») по локальной сети в папку на компьютере преподавателя (на рабочем столе создан ярлык к папке "Сдача_ЛР".


Индивидуальные задания

Вариант 1

Создать программу с формой для вычисления координаты точки, колеблющейся по гармоническому закону:

x = Acos(2πνt)

где A - амплитуда колебаний [м]; ν - частота колебаний [Гц]; t - время с начала отсчета колебаний [с].

Вариант 2

Создать программу с формой для вычисления координаты точки, колеблющейся по гармоническому закону::

y = Asin(2πνt)

где A - амплитуда колебаний [м]; ν - частота колебаний [Гц]; t - время с начала отсчета колебаний [с].

Вариант 3

Создать программу с формой для вычисления периода колебаний пружинного маятника:

где m - масса груза [кг]; k - коэффициент жесткости пружины [н/м].

Вариант 4

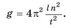
Создать программу с формой для вычисления ускорения свободного падения:

где l - длина нити математического маятника [м]; n = 10 - количество колебаний; t - время n колебаний [с].

Вариант 5

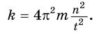
Создать программу с формой для вычисления жесткости пружины:

 

где m - масса груза в пружинном маятнике [кг]; n = 10 - количество колебаний; t - время n колебаний [с].

Вариант 6

Создать программу с формой для вычисления полной механической энергии математического маятника:

 W =

где m - масса груза [кг]; v - скорость груза [м/с]; h - высота подъема груза [м]; g = 9.8 м/с2 - ускорение свободного падения.

Вариант 7

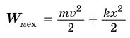
Создать программу с формой для вычисления полной механической энергии пружинного маятника:

 

где m - масса груза [кг]; v - скорость груза [м/с]; k - коэффициент жесткости пружины [н/м]; x - отклонение пружины от положения равновесия [м].

Вариант 8

Создать программу с формой для вычисления максимальной скорости движения груза в математическом маятнике:

 

где hmax - максимальная высота подъема груза [м]; g = 9.8 м/с2 - ускорение свободного падения.

Вариант 9

Создать программу с формой для вычисления частоты колебаний математического маятника:

 

где l - длина нити [м]; g = 9.8 м/с2 - ускорение свободного падения.

Вариант 10

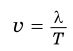
Создать программу с формой для вычисления скорости распространения волны:

где λ - длина волны [м]; T - период колебаний источника волны [с].

Вариант 11

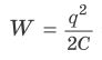
Создать программу с формой для вычисления энергии электростатического поля конденсатора:

 

где q - заряд конденсатора [Кл]; C - электроёмкость конденсатора [Ф].

Вариант 12

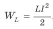
Создать программу с формой для вычисления энергии магнитного поля катушки с током:

где L - индуктивность катушки [Гн]; I - сила тока в цепи [А].

Вариант 13

Создать программу с формой для вычисления периода электромагнитных колебаний в колебательном контуре:

где L - индуктивность катушки [Гн]; C - электроёмкость конденсатора [Ф].

Вариант 14

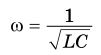
Создать программу с формой для вычисления циклической частоты электромагнитных колебаний:

где L - индуктивность катушки [Гн]; C - электроёмкость конденсатора [Ф].

Вариант 15

Создать программу с формой для вычисления мгновенного значения силы переменного электрического тока:

i = Imax·sin(2πνt)

где Imax - амплитудное значение силы тока [А]; ν - частота электромагнитных колебаний [Гц]; t - момент времени [с].